6 - AVL + B-strom
Připomenutí teorie
Přednáška 6 v oddíle Přednášky.
AVL
Název je podle autorů (Adelson-Velsky a Landis), nemá význam. AVL udržuje vyváženost stromu a tak zajišťuje logaritmickou složitost operací. Potřeba vyvažovat se zjišťuje z rozdílu hloubek podstromů daného uzlu. Pokud je větší než 1, provádíme rotaci:
-
Jednoduché rotace - když je větší hloubka na stejné straně (uzel i jeho potomek na hlubší straně mají hlubší podstrom na stejné straně), nebo mají oba podstromy na hlubší straně stejnou hloubku.
-
R rotace - rotace doprava - levý podstrom je o 2 hlubší než pravý podstrom, a kořen levého podstromu (levý potomek) má taktéž hlubší podstrom u levého potomka, nebo jsou oba jeho podstromy stejně hluboké
-
L rotace - rotace doleva - pravý podstrom je o 2 hlubší než levý podstrom, a kořen pravého podstromu (pravý potomek) má taktéž hlubší podstrom u pravého potomka, nebo jsou oba jeho podstromy stejně hluboké
-


-
Dvojité rotace - když je větší hloubka na jiné straně (uzel a jeho potomek na hlubší straně mají hlubší podstrom na různých stranách)
-
LR rotace - L rotace v levém potomkovi a pak R rotace - levý podstrom je o 2 hlubší než pravý podstrom, a kořen levého podstromu (levý potomek) má hlubší podstrom u pravého potomka
-
RL rotace - R rotace v pravém potomkovi a pak L rotace - pravý podstrom je o 2 hlubší než levý podstrom, a kořen pravého podstromu (pravý potomek) má hlubší podstrom u levého potomka
-


Kontrolujeme takto každý uzel po cestě zpět do kořene, při vkládání i mazání. Jinak vše probíhá jako u BVS.
Vizualizace AVL s vlastním vkládáním a mazáním, včetně krokování: https://www.cs.usfca.edu/~galles/visualization/AVLtree.html
B-strom
Speciální strom, který není binární a uzly mohou obsahovat více než jeden klíč. Název také není intuitivní.
Pro B-strom řádu platí:
-
Listy jsou ve stejné hloubce
-
Všechny uzly kromě kořene obsahují maximálně a minimálně uspořádaných klíčů
-
Každý uzel (kromě listů) má o 1 víc potomků, než má klíčů
Vkládání: Jakmile je uzel přeplněn, jeho klíčů se rozdělí na dvakrát klíčů a prostřední klíč (ten ). Vytvoří se nový uzel hned vedle původního a prostřední klíč se posune o patro výš, kde se doplní napravo od původního ukazatele na uzel, a jako potomka napravo bude mít uzel s pravou polovinou klíčů co jsme rozdělili. Musíme pak zkontrolovat rodiče, protože jsme do něj přidali jeden klíč navíc, takže je možné, že pak bude třeba obsloužit přeplnění rodiče, a možná i prarodiče atd., rekurzivně směrem ke kořeni. Klíče nerotují na rozdíl od mazání.
Mazání: Jakmile je uzel příliš prázdný, jeho klíčů se doplní z levého nebo pravého sourozence, “rotací” klíčů přes rodiče. Pokud mají oba prvků (případně jeden z nich neexistuje - jsme na kraji), sloučíme uzel se sousedem na jedné straně a s odpovídajícím klíčem v rodiči. Klíčů v takto vytvořeném uzlu bude , tedy . Musíme pak zkontrolovat rodiče, protože jsme z něj odebrali jeden klíč.
Vizualizace B-stromu s vlastním vkládáním a mazáním, včetně krokování: https://www.cs.usfca.edu/~galles/visualization/BTree.html
Poznámka: Někdy se jako řád uvádí maximální počet potomků uzlu, protože to je obecnější (umožňuje to lichá maxima počtu klíčů v uzlu). Minimum klíčů v uzlu (mimo kořen) je pak .
Řešené úlohy
AVL
Řešená úloha 1: Čísla ze zadané posloupnosti postupně vkládejte do prázdného AVL vyhledávacího stromu, který podle potřeby vyvažujete.
13, 11, 10, 15, 5, 21, 8, 4, 24, 17, 6, 18, 7
Jaké se provádí rotace?
Řešení
Provedli jsme rotace
-
R v uzlu s klíčem 13 při vložení 10
-
L v uzlu s klíčem 13 při vložení 21
-
LR v uzlu s klíčem 10 při vložení 8
-
RL v uzlu s klíčem 15 při vložení 18
-
LR v uzlu s klíčem 8 při vložení 7
Poté z něj odstraňte 13, 11, 5, 24, 17 a 18. Při mazání nahrazujte nejmenším klíčem v pravém podstromu.
Po mazání
Provedli jsme rotace
-
L v uzlu s klíčem 17 při odstranění 11
-
LR v uzlu s klíčem 21 při odstranění 24
-
LR v kořeni (klíč 15) při odstranění 18
Zde je strom po jednotlivých rotacích:
Řešená úloha 2: Zdůvodněte pravdivost/nepravdivost tvrzení: Existuje AVL strom, v němž levý podstrom kořene obsahuje 4 uzly a pravý podstrom kořene obsahuje alespoň 12 uzlů.
Řešení
Takový strom existuje, například:

B-strom
Řešená úloha 3: Vybudujte B-strom řádu 1 tak, že do nejprve prázdného stromu vložíte postupně v uvedeném pořadí následující klíče:
18, 31, 59, 20, 23, 24, 36, 60, 58, 15
Řešení
Poté v uvedeném pořadí odstraňte klíče 20, 24, 23, 36 a 60. Při mazání taktéž nahrazujte nejmenším vyšším klíčem (nejlevějším v pravém podstromu).
Po mazání
Další úlohy
AVL
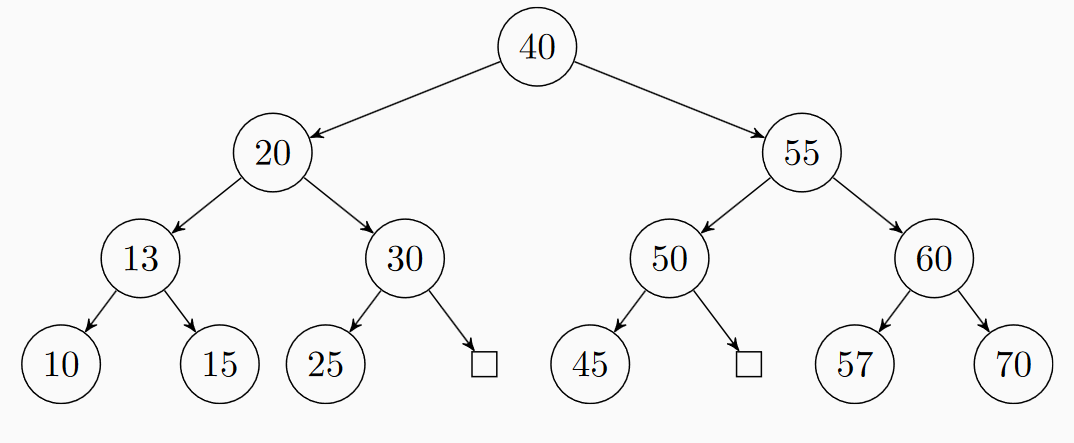
⭐ Úloha 4:
Na obrázku je uveden AVL strom. Odstraňte z něj operací delete uzly s klíči 50, 30, 25 v tomto pořadí. Rozhodněte, zda a jaké rotace budou během této úpravy použity.
Výsledek

⭐ Úloha 5:
Pro tentýž strom jako v zadání úlohy 4 (před mazáním) proveďte operaci insert s klíči 45, 57, 13 v tomto pořadí. Rozhodněte, zda a jaké rotace budou během této úpravy použity.
Výsledek

Úloha 6: Do prázdného AVL stromu postupně vkládáme klíče 23, 11, 24, 31, 17, 20, 30 a 25. Jak bude vypadat strom po vložení všech klíčů?
Výsledek

Úloha 7: Do prázdného AVL stromu postupně vkládáme klíče 25, 30, 20, 17, 31, 24, 11 a 12. Jak bude vypadat strom po vložení všech klíčů?
Výsledek

⚡ Úloha 8: Jaký je minimální možný počet uzlů v AVL stromu s hloubkou 4? (Hloubka kořene je vždy 0). Nakreslete příslušný AVL strom.
Pokročilejší varianta: Jaký je minimální možný počet uzlů v AVL stromu s hloubkou D > 0?
Složitost
Úloha 9: Jednoduchá levá rotace v uzlu má operační složitost
-
závislou na výšce levého podstromu uzlu
-
mezi a
-
závislou na hloubce uzlu
-
konstantní
⭐ Úloha 10: Kolik jednoduchých rotací se maximálně provede při jedné operaci Insert v AVL stromu s n uzly?
⭐ Úloha 11: LR rotace v uzlu má operační složitost
-
závislou na hloubce uzlu
-
-
konstantní
-
lineární
Konstrukční
Úloha 12: Nakreslete AVL strom s 8 číselnými klíči tak, aby po vložení klíče s hodnotou 19 bylo nutno provést
-
L rotaci v kořeni,
-
L rotaci v uzlu, který není kořenem,
-
LR rotaci v kořeni,
-
LR rotaci v uzlu, který není kořenem.
⭐ Úloha 13: Docent Omylný tvrdí, že vždy, když se AVL strom vyváží některou z rotací (jednoduchou nebo dvojitou) následující po smazání uzlu, sníží se tím také hloubka celého AVL stromu. Najděte k tomuto tvrzení protipříklad.
Implementační
Úloha 14:
Napište proceduru strom leváRotace(strom s). Napřed si namalujte obrázek a rozmyslete si, kterých
ukazatelů se změna dotkne.
Úloha 15: Předpokládejme, že každý uzel AVL stromu obsahuje reference (ukazatele, pointry) na oba své potomky a na svého rodiče (reference obsahují NIL, pokud příslušné objekty neexistují).
-
Určete, kolik maximálně referencí změní svou hodnotu při jednoduché pravé rotaci v takto reprezentovaném AVL stromu.
-
Napište funkci, která provede pravou rotaci v uzlu
x. Uzelxbude parametrem funkce. Funkce vrátí ukazatel na uzel, který byl před zahájením rotace levým potomkemx.
Úloha 16: Naimplementujte metodu, která ověří, zda daný binární strom je AVL stromem.
B-strom
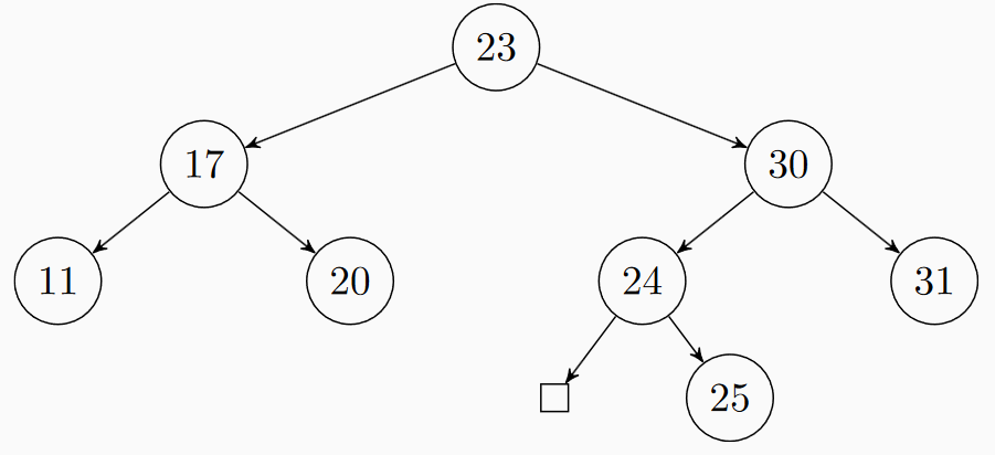
⭐ Úloha 17: Do B-stromu znázorněného na obrázku vložíme postupně klíče 14, 10.
Jak bude strom poté vypadat?
Úloha 18: Do B-stromu znázorněného na obrázku vložíme postupně klíče 7, 5.
Jak bude strom poté vypadat?
⭐ Úloha 19: Z B-stromu znázorněného na obrázku odebereme postupně klíče 4, 35. Pak bude kořen obsahovat klíč/klíče…
-
18
-
18, 28
-
20
-
20, 28
-
28
Odpověď
c. 20
Jak bude poté vypadat celý strom?
Úloha 20: Z B-stromu znázorněného na obrázku odebereme postupně klíče 18, 2. Pak bude kořen obsahovat klíč/klíče…
-
8
-
8, 16
-
10
-
10, 12
-
13
Jak bude poté vypadat celý strom?
Úloha 21: Klíče v tomto pořadí vložte do prázdného B-stromu řádu 2. Jak bude vypadat výsledný strom?
Ověřte si řešení s vizualizačním programem.
⚡ Úloha 22: B-strom je řádu 10 a máme do něj umístit 100 000 klíčů. Jaká je maximální a minimální možná hloubka tohoto stromu?
Pokročilé: Jaký je maximální a minimální možný počet uzlů tohoto stromu?